Materialy ogólnodostępne
 
                    
                                
                                        03
                    Maj
                
                MOUNTAIN CLUSTERING
03-05-2019 r.
                Subtractive Mountain Clustering method and its application to data analysis.
             
                    
                                
                                        14
                    Maj
                
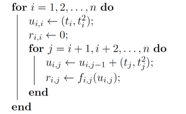
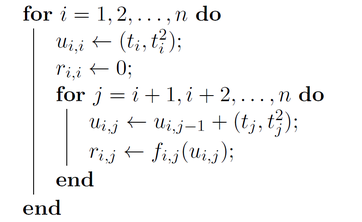
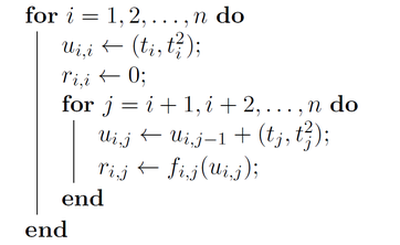
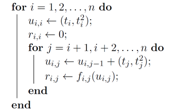
                ALGORYTM SZYBKIEGO BADANIA WŁASNOŚCI STATYSTYCZNYCH PODCIĄGÓW SZEREGU LICZBOWEGO
14-05-2018 r.
                W artykule zaprezentowano algorytm szybkiego badania podstawowych właściwości statystycznych (wartość oczekiwana i wariancja) wszystkich podciągów danego ciągu liczbowego.
             
                    
                                
                                        13
                    Mar
                
                ANALYTICAL MODELLING THE LINEAR WEAR OF THE INSIDE OF A PIPE TRANSPORTING...
13-03-2018 r.
                Oprogramowanie analizujące proces ścierania materiału wewnątrz rury służącej do transportu materiałów sypkich.
             
                             
                        
