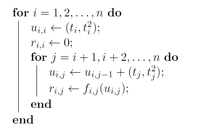
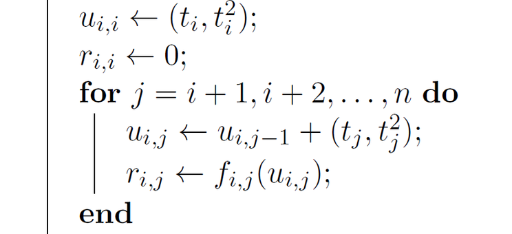
W artykule zaprezentowano algorytm szybkiego badania podstawowych właściwości statystycznych (wartość oczekiwana i wariancja) wszystkich podciągów danego ciągu liczbowego. Dodatkowo pokazano, że jeśli mamy do czynienia z danymi pomiarowymi, to do wykonywania tego rodzaju obliczeń statystycznych można wykorzystać zarówno reprezentację zmiennoprzecinkową, jak i całkowitoliczbową. Ze względu na charakter analizowanych obliczeń przedstawione zostały warunki konieczne, które muszą być spełnione przez typ liczbowy, aby wszystkie badane statystyki wyznaczone zostały praktycznie bez błędu numerycznego. Artykuł prezentuje też czas działania poszczególnych algorytmów ze względu typ liczbowy, który została wykorzystany.
Materialy ogólnodostępne
ALGORYTM SZYBKIEGO BADANIA WŁASNOŚCI STATYSTYCZNYCH PODCIĄGÓW SZEREGU LICZBOWEGO
14-05-2018 r.





